近日,深圳市規劃和自然資源局最新公布了“深圳市存量住宅用地信息”(截至2020年12月31日)。
據發布的信息顯示,截至2020年12月31日,深圳存量宅地共有442個,總面積970.78公頃。
其中未動工土地面積348.11公頃(348.11萬平方米),已動工土地面積622.87公頃(622.87萬平方米),其中已動工未銷售土地面積為307.74公頃(307.74萬平方米)。

據統計,福田區存量宅地項目共有25個、羅湖區19個、南山區36個、前海6個、鹽田區23個、寶安區76個、龍崗區92個、龍華區57個、坪山區28個、光明區57個、大鵬新區23個。

未來宅地供應量最大的4個區是:龍崗區92個、寶安區76個、龍華區和光明區均為57個。
看完上述數據,可能你還沒有太多感受,但從歷史數據來看,深圳正在迎來史上最大建房計劃,截至2020年12月31日,深圳已動工土地面積622.87萬平方米,如果按照2.0容積率計算,則意味著至少有1200萬平方米房子已動工。而據官方透露,2021年將有至少8.5萬套房。縱觀過去10年成交量,2021年的住宅供應量足以創造一個新的成交紀錄,并有效地穩定房價。

從深圳存量宅地970.78萬平方米總面積(假設容積率為2,則至少約20萬套房)來看,如果2021年全部開工,這意味著:深圳史上最大建房計劃已經來了。
從數據來看,深圳2002-2006年成交量較大,分別為:724萬平方米、812萬平方米、 820萬平方米、901萬平方米、706萬平方米。

2020年,居住用地計劃供應量和實際供應量均為歷年最高!
2020年12月16日,深圳市集中出讓最后3宗宅地,總面積約22萬㎡,總成交金額達42.73億元。
其中,福田、龍崗兩宗地均是最高限制地價成交。其中,福田宅地建設為可售型人才住房,其余2宗建設為普通商品住房。
在最新出讓的三宗用地中,福田、龍崗兩宗地均采用“雙限雙競”方式掛牌出讓,深汕特別合作區宗地采用“單限雙競”方式掛牌出讓。
2020年全市居住用地計劃供應293.2公頃,截至12月17日實際供應357.03公頃,完成計劃的121.77%。其中新供應196公頃,更新整備供應140.49公頃,棚戶區改造供應9.28公頃,其他(含工改保)供應11.26公頃。
2020年居住用地的計劃供應量和實際供應量均為歷年最高。

2020年8月20日,市住房建設局組織召開了《深圳市住房發展“十四五”規劃》人大代表、政協委員專題座談會。
據深圳住建局透露:未來,深圳的住房結構將是60%的公共住房加上40%的商品住房;到2035年,將建設170萬套住房。
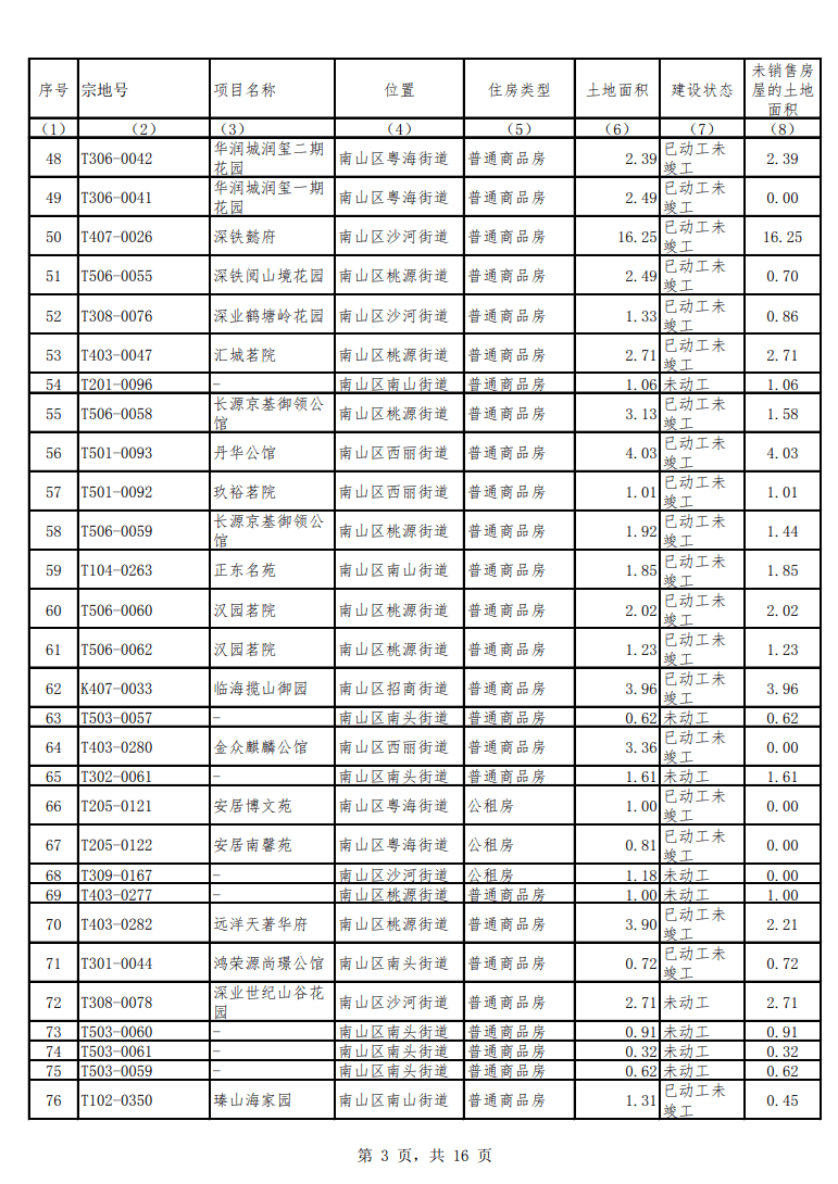
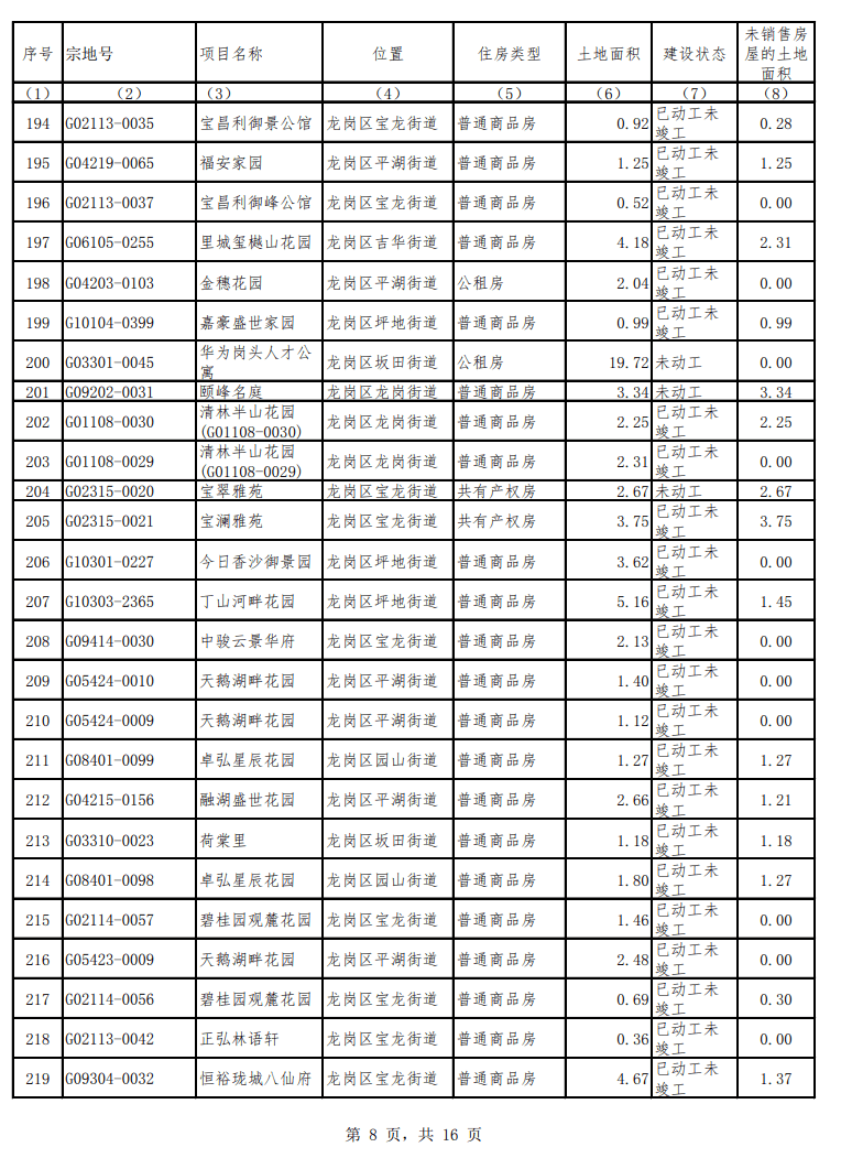
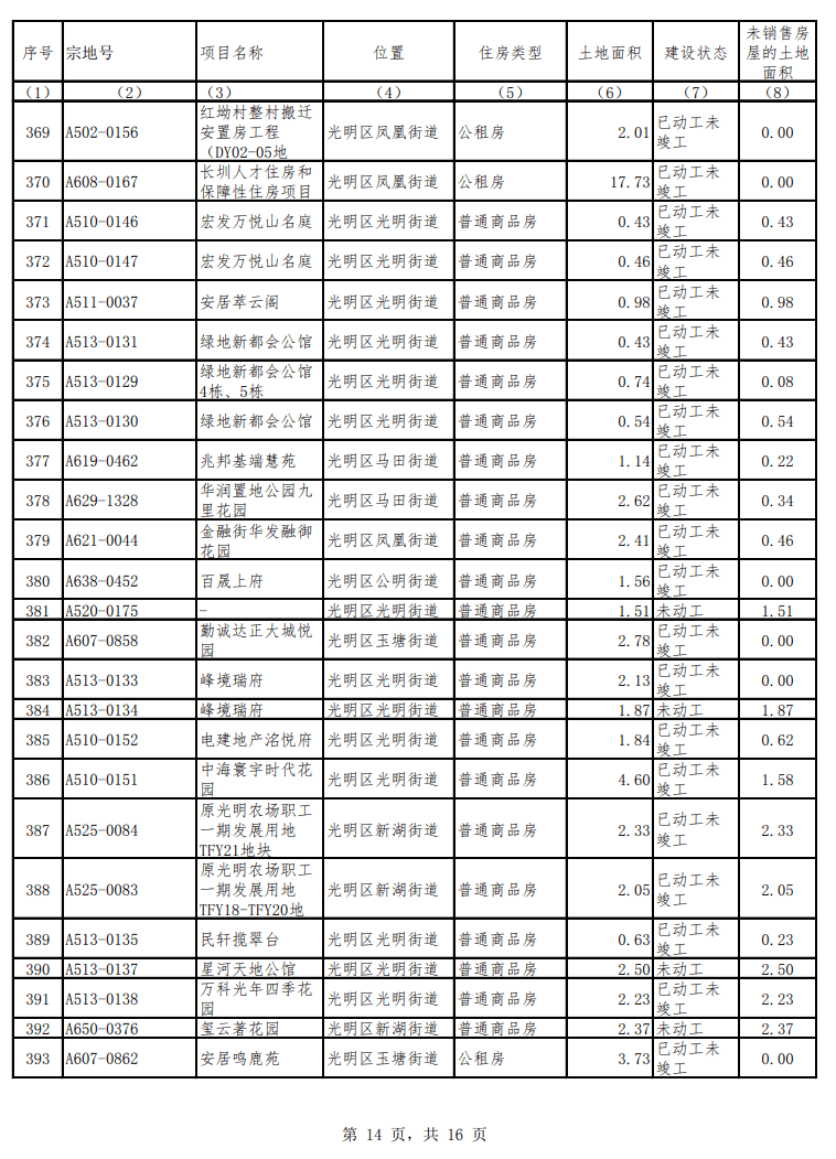
442個存量住宅清單曝光
以下是各區存量住宅用地項目清單:
福田區
福田區存量宅地項目共有25個,其中香蜜湖街道7個,福田街道3個,蓮花街道4個,梅林街道3個,沙頭街道4個,華富街道3個,福保街道1個。
其中商品房用地項目19個,公租房用地項目5個,未知用地項目1個。
福田區已動工,即將入市的項目有:海德園A區、B區,天健天驕南苑、北廬、西筑,皇庭公館,安托山片區13-01地塊,合正置地大廈,灣尚庭璽家園、駿璽家園,富通·九曜公館,上梅林雅苑,上沙村城市更新項目等。


羅湖區
羅湖區存量宅地共有19個,其中桂園街道2個,翠竹街道5個,東曉街道3個,蓮塘街道5個,筍崗街道2個,清水河街道2個。
其中商品房用地16個,公租房用地3個。
羅湖區已動工,即將入市的項目有:實地劍蘭郡,京基水貝洪湖苑,獨樹陽光里,翠苑家園,東海富匯豪庭,縉山府,恒大天璽公館,筍崗城市更新單元,華富村舊改項目,木頭龍城市更新項目,東立片區城市更新單元等。

南山區
南山區存量宅地共有36個,其中南山街道5個,西麗街道4個,蛇口街道1個,粵海街道4個,沙河街道4個,桃源街道9個,招商街道2個,南頭街道7個。
其中商品房用地33個,公租房用地3個,共有產權房用地1個。
南山區已動工,即將入市的項目有:海境界家園二期,華潤城潤璽二期,深鐵懿府,深鐵閱山境花園,深業鶴塘嶺花園,匯城茗苑,正東名苑,漢園茗苑,臨海攬山御園,遠洋天著華府,鴻榮源尚璟公館等。



前海合作區
前海合作區存量宅地共有6個,其中桂灣1個,媽灣3個,前灣1個,商品房龍海家園還有12.01公頃未銷售用地。
前海合作區已動工,即將入市的項目有:龍海花園,前海天境花園等。

鹽田區
鹽田區存量宅地共有23個,其中鹽田街道15個,梅沙街道3個,海山街道2個,沙頭角街道3個。
其中商品房用地17個,公租房用地3個,共有產權房用地3個。
鹽田區已動工,即將入市的項目有:御景佳園四期、五期,星都·梅沙天邸,心海天譽府,卓越榮津瀚海灣名庭,山海四季二期華府,鵬瑞南區尚府、北區尚府等。

寶安區
寶安區存量宅地共有76個,其中新安街道12個,西鄉街道16個,福永街道6個,松崗街道8個,沙井街道9個,新橋街道10個,石巖街道4個,福海街道3個,燕羅街道3個,航城街道5個。
其中商品房用地66個,公租房用地4個,租賃型商品房用地1個,共有產權房用地5個。
寶安區已動工,即將入市的項目有:盛意家園,新錦安海納公館,盛錦苑,裕安領域軒,星河榮御花苑三期,泰禾城市花園、都市花園,塘尾城市花園,泰華梧桐聚落花園,康達爾山海上園三期、四期,興圍華府,匯智百盛家園,瓏灣上城花園、世界花園,萬科星城名邸、星城華府,嘉信云峰公館,天悅壹號雅軒、璽苑,譽瓏明軒、名苑、薈庭、豪軒,河東駿濠園,清平華府,西灣海岸公館,泰福名苑,萬豐海岸城錦園、瓏園、璽園、珺園、瑧園,富士君悅府,四季名苑,招商臻府,玖玖頌閣,尖崗山壹號花園,嘉富寶禧花園,聯投東方世家花園,宏發新領域花園,盛合天宸家園,恒興御景園,越秀和樾府,松風明月花園,萬科大都會家園,滿京華云著雅庭、華庭;佳兆業樾伴山花園,御品巒山花園等。



龍崗區
龍崗區存量宅地共有92個,其中橫崗街道2個,布吉街道5個,龍崗街道24個,平湖街道12個,寶龍街道15個,吉華街道3個,坪地街道7個,坂田街道13個,園山街道7個。
其中商品房用地76個,公租房用地4個,租賃型商品房用地2個,共有產權房用地8個,其他用地2個。
龍崗區已動工,即將入市的項目有:頤安都會中央花園,信義荔景御園,頤璟名庭,頤翠名庭,昊龍華庭,寶昌利御景公館、御峰公館,福安家園,里城璽樾山花園,嘉豪盛世家園,頤峰名庭,清林半山花園,今日香沙御景園,丁山河畔花園,特發天鵝湖畔花園,卓弘星辰花園,融湖盛世花園,荷棠里,碧桂園觀麓花園,正弘林語軒,恒裕瓏城八仙府,京基御景半山花園,利德悅府,寶鴻華府,信義君御山居,君華天第家園,君華時代花園,仁恒四季園、四季新園,新霖薈璟花園、薈邑花園,保達譽都花園,佳兆業金御家園,倚華居,陽光香格里家園,和成金竹家園,百合世紀廣場,中海陽光橡樹園,招商臻城花園等。




龍華區
龍華區存量宅地共有57個,其中龍華街道有9個,觀湖街道有8個,民治街道有23個,大浪街道有6個,觀瀾街道有4個,福城街道有6個。
其中商品房用地46個,公租房用地5個,租賃型商品房用地1個,共有產權房用地5個。
龍華區已動工,即將入市的項目有:華盛瓏悅花園,奧宸觀壹城華府,未央花園,深國際萬科和雅軒,盛璟潤府,萬福花園,壹成超體花園,錦順名居,民治簡上老屋村更新單元,壹成時代花園二期,豐盛懿園,安宏基星曜廣場,云瓏府,恒壹四季華府,御景華府,辰祥公館,鐘氏電子工業區城市更新單元,中城宴華府,龍光玖譽府,大浪街道龍勝舊村片區城市更新項目,春江天璽閣,龍光玖悅臺,山水華庭,中海匯德理花園,瀾匯城泱花園,北宸之光家園,萬科啟城家園等。



坪山區
坪山區存量宅地共有28個,其中坑梓街道2個,碧嶺街道6個,馬巒街道7個,龍田街道7個,坪山街道6個。
其中商品房用地24個,公租房用地2個,共有產權房用地2個。
坪山區已動工,即將入市的項目有:碧湖春天東花園、南花園、北花園,方直谷倉府、谷倉居,中海萬錦熙岸華庭,G13302-8025宗地,佳華領悅廣場,恒大城一期、二期,怡瑞達云秀府,璽悅臺,東關郡府,花樣年旭輝好時光家園,潤樾山花園,萬樾府等。


光明區
光明區存量宅地共有57個,其中公明街道3個,鳳凰街道12個,光明街道22個,馬田街道4個,玉塘街道4個,新湖街道12個。
其中,商品房用地39個,公租房用地13個,共有產權房用地3個,其他用地2個。
光明區已動工,即將入市的項目有:宏發萬悅山名庭,安居萃云閣,綠地新都會公館,兆邦基端慧苑,華潤置地公園九里花園,金融街華發融御花園,百晟上府,勤誠達正大城悅園、樂園,金地峰境瑞府,電建洺悅府,中海寰宇時代花園,民軒攬翠臺,萬科光年四季花園,佳兆業云峰匯花園等。



大鵬新區
大鵬新區存量宅地共有23個,其中大鵬街道8個,葵涌街道12個,南澳街道3個。
其中商品房用地8個,公租房用地7個,共有產權房用地1個,其他用地7個。
大鵬新區已動工,即將入市的項目有:鵬海灣公館,天海城花園,家天下花園,東山海濱名苑一期,諾德閱海花園,東漁華府,滿京華云曦花園,卓越蔚藍鉑樾府等。


本文來源:深圳夢

熱線
關注
置頂